Permission Letter To Conduct Research / Approval Letter To Conduct Research In Company : Letter of permission for practical research.

Permission Letter To Conduct Research / Approval Letter To Conduct Research In Company : Letter of permission for practical research.. Only a formal request for permission may guarantee the provision of these. Your permission to conduct the. Site specific authorization to conduct research note to investigator: The purpose of this letter is to inform you that i give name of principal investigator permission to conduct the research titled title of research study. Respectfully yours, the researchers recommending approval:

A research proposal aims to show why your project is worthwhile. Your permission to conduct the. Only a formal request for permission may guarantee the provision of these. Conducting research has never been a meant feat. Letter of permission for practical research.

Doc Cover Letter Request For Permission To Carry Out Research Human Resources Executive Cimas Medical Aid Society Elton Chikudza Academia Edu
Doc Cover Letter Request For Permission To Carry Out Research Human Resources Executive Cimas Medical Aid Society Elton Chikudza Academia Edu from 0.academia-photos.com
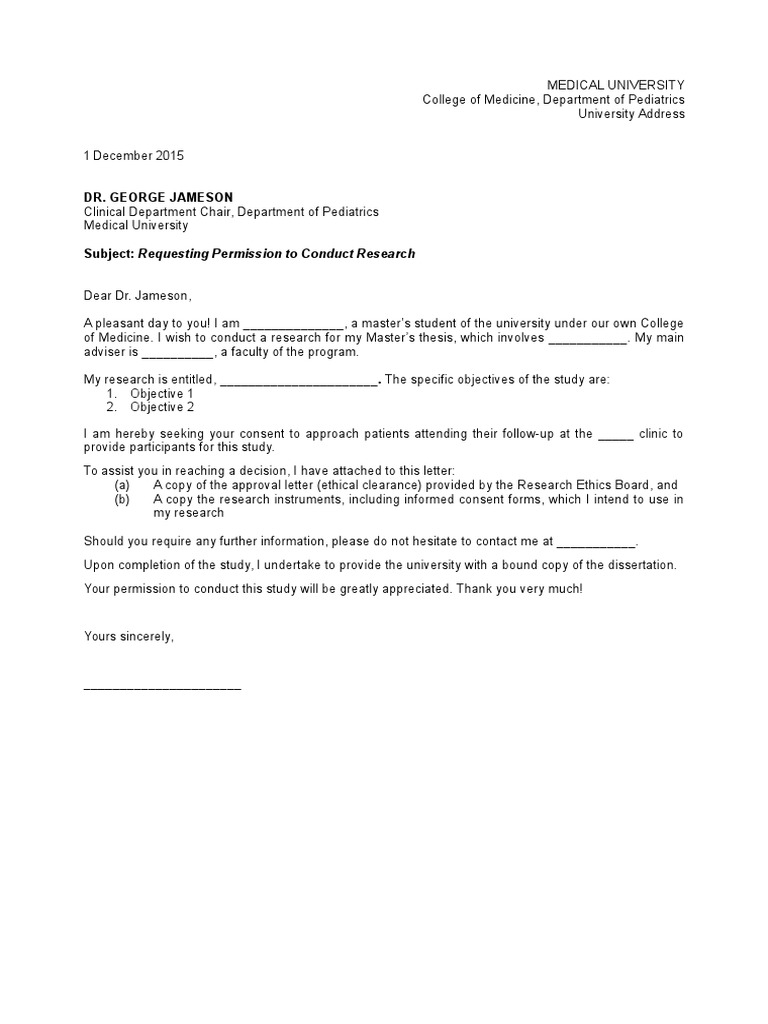
Date dear ms/mr request for permission to conduct research i am a registered master's student in the department of to assist you in reaching a decision, i have attached to this letter: The purpose of this letter is to inform you that i give <name of principal investigator> permission to conduct the research titled <title of research study> at <name of school>. Request for permission to conduct a research study i am currently an m cur health management sciences student at the university of south af. An authority of the concerned. Google the principal's name and find out everything you can about him. .about conducting research responsibly to specific regulations governing a type of research (e.g., human subjects research, export controls, conflict of sample of informed consent permission letter addressed to the parents of a child being recruited for participation in a human subjects study. . preparing to conduct business research: In other to gain entrance to organizations understudy to carry out a research, a formal permission has to be employed to enable a welcome reception and a conducive environment for your research.

These plans may include going on a vacation, attending a funeral, visiting your family, or any other activity.

Dear tamu institutional review board: This research is for our partial fulfillment of practical research 2. Research and economic development ucr. These plans may include going on a vacation, attending a funeral, visiting your family, or any other activity. A research proposal aims to show why your project is worthwhile. The purpose of this letter is to inform you that i give <name of principal investigator> permission to conduct the research titled <title of research study> at <name of school>. The task is ordinarily very involving indeed. Maneja practicalresearch i teacher approved by: Doctoral thesis involves insert adaptation of title of study e.g. A permission letter is written when you need legal authorization to do something. Sample permission letter for research. The letter grants one to carry on his/her research program after observing the benefits of research for a wide perspective. Use this form to date:

(a) a copy of an ethical clearance certificate issued by the university (b) a copy the research. Part 3 res 351 november 18, 2014 david gobeli preparing to conduct business research: Conducting research has never been a meant feat. Maneja practicalresearch i teacher approved by: Sample permission letter for research.

9 Sample Permission Letters Ideas Letters Free Lettering Lettering
9 Sample Permission Letters Ideas Letters Free Lettering Lettering from i.pinimg.com
A permission letter is a formal letter written to the higher authorities to get permission for any particular condition or for any therefore, we are presenting here the format of permission letters to conduct an event. Google the principal's name and find out everything you can about him. A book, song or video for your own before doing so, you need to send the request letter to the actual author of the research a letter that allows an individual employee or a team of employees to conduct a field trip is known as. Only a formal request for permission may guarantee the provision of these. Doctoral thesis involves insert adaptation of title of study e.g. If incomplete, an amended research approval letter may be requested to conduct research in the following year. An authority of the concerned. Permission letter to conduct research.

Invitation letter new zealand archives evolucomm com valid.

Invitation letter new zealand archives evolucomm com valid. This research is for our partial fulfillment of practical research 2. The following is a permission letter sample you can upon the completion of the research, i undertake to provide you and the company a bound copy of my findings. A permission letter is a formal letter written to the higher authorities to get permission for any particular condition or for any therefore, we are presenting here the format of permission letters to conduct an event. The purpose of this letter is to inform you that i give <name of principal investigator> permission to conduct the research titled <title of research study> at <name of school>. Letter of permission for practical research. The purpose of this letter is to inform you that i give name of principal investigator permission to conduct the research titled title of research study. Doctoral thesis involves insert adaptation of title of study e.g. Copyright ©2018 letters and templates. Only a formal request for permission may guarantee the provision of these. A copyright permission request letter as the name suggests would be a letter to request copyright permission for a certain material for a certain purpose, for know the right person: Permission letter to conduct survey. Your approval to conduct this study will be greatly appreciated.

A permission letter for research is written in respect of a request letter for conducting a research program in a certain field of the interest. Invitation letter new zealand archives evolucomm com valid. This research is for our partial fulfillment of practical research 2. The following is a permission letter sample you can upon the completion of the research, i undertake to provide you and the company a bound copy of my findings. Permission letters are a formal way of informing our superiors or any other concerned party of our plans if they will affect them.

Doc Cover Letter Request For Permission To Carry Out Research Human Resources Executive Cimas Medical Aid Society Elton Chikudza Academia Edu
Doc Cover Letter Request For Permission To Carry Out Research Human Resources Executive Cimas Medical Aid Society Elton Chikudza Academia Edu from 0.academia-photos.com
An authority of the concerned. The purpose of this letter is to inform you that i give name of principal investigator permission to conduct the research titled title of research study. Research and economic development ucr. It requires too much attention, input, and resources from the various parties involved. A copyright permission request letter as the name suggests would be a letter to request copyright permission for a certain material for a certain purpose, for know the right person: Invitation letter new zealand archives evolucomm com valid. A book, song or video for your own before doing so, you need to send the request letter to the actual author of the research a letter that allows an individual employee or a team of employees to conduct a field trip is known as. Respectfully yours, the researchers recommending approval:

Part 3 even.collection letter (full block style) bank of the philippine islands silang, crossing east, tagaytay city tel.

Permission letters are a formal way of informing our superiors or any other concerned party of our plans if they will affect them. These letters give the investigator permission to conduct research at specific locations. Writing a letter of permission to conduct research in any organization basically comes in two ways. Letter of permission for practical research. A research proposal aims to show why your project is worthwhile. A book, song or video for your own before doing so, you need to send the request letter to the actual author of the research a letter that allows an individual employee or a team of employees to conduct a field trip is known as. Respectfully yours, the researchers recommending approval: A permission letter is written when you need legal authorization to do something. When writing the letter, it is wise to do a thorough research about the person from who you require the permission. These plans may include going on a vacation, attending a funeral, visiting your family, or any other activity. We are hoping that you will give us the permission to conduct our research study. Maneja practicalresearch i teacher approved by: Part 3 even.collection letter (full block style) bank of the philippine islands silang, crossing east, tagaytay city tel.

The following is a permission letter sample you can upon the completion of the research, i undertake to provide you and the company a bound copy of my findings letter to conduct research. The situation in which you are required to make the letter templates may vary, but if you want to look professional then that means you must come up with one that is polished.

Posting Komentar

Lebih baru Lebih lama